ORIGINAL ARTICLE

Admission of patients with chest pain and/or breathlessness from the emergency department in relation to risk assessment and copeptin levels – an observational study

Lee Ti Davidsona, Emilia Gauffinb, Preben Henangerb, Maciej Wajdaa, Daniel Wilhelmsa, Bertil Ekmanb, Hans J. Arnqvistb, Martin Schillingc and Simona I. Chisalitab

aDepartment of Emergency Medicine in Linköping, Local Health Care Services in Central Östergötland, Region Östergötland & Department of Biomedical and Clinical Sciences, Linköping University, Sweden; bDepartment of Endocrinology in Linköping, and Department of Health, Medicine and Caring Sciences, Linköping University, Linköping, Sweden; cClinicum and Innovations Centrum, Department of Emergency Medicine and Department of Clinical and Experimental Medicine, Linköping University, Linköping, Sweden

ABSTRACT

Background: One of the most critical decisions that emergency department (ED) physicians make is the discharge versus admission of patients. We aimed to study the association of the decision in the ED to admit patients with chest pain and/or breathlessness to a ward with risk assessment using the Rapid Emergency Triage and Treatment System (RETTS), the National Early Warning Score (NEWS), and plasma levels of the biomarkers copeptin, midregional proadrenomedulin (MR-proADM), and midregional proatrial natriuretic peptide (MR-proANP).

Methods: Patients presenting at the ED with chest pain and/or breathlessness with less than one week onset were enrolled. Patients were triaged according to RETTS. NEWS was calculated from the vital signs retrospectively.

Results: Three hundred and thirty-four patients (167 males), mean age 63.8 ± 16.8 years, were included. Of which, 210 (62.8%) patients complained of chest pain, 65 (19.5%) of breathlessness, and 59 (17.7%) of both. Of these, 176 (52.7%) patients were admitted to a ward, and 158 (47.3%) patients were discharged from the ED. In binary logistic models, age, gender, vital signs (O2 saturation and heart rate), NEWS class, and copeptin were associated with admission to a ward from the ED. In receiver-operating-characteristics (ROC) analysis, copeptin had an incremental predictive value compared to NEWS alone (P = 0.002).

Conclusions: Emergency physicians’ decisions to admit patients with chest pain and/or breathlessness from the ED to a ward are related to age, O2 saturation, heart rate, NEWS category, and copeptin. As an independent predictive marker for admission, early analysis of copeptin might be beneficial when improving patient pathways at the ED.

KEYWORDS
Emergency department, chest pain, breathlessness, copeptin, MR-proADM, MR-proANP

 

Citation: UPSALA JOURNAL OF MEDICAL SCIENCES 2022, 127, e8941; http://dx.doi.org/10.48101/ujms.v127.8941

Copyright: © 2022 The Author(s). Published by Upsala Medical Society.
This is an Open Access article distributed under the terms of the Creative Commons Attribution License (http://creativecommons.org/licenses/by/4.0/), which permits unrestricted use, distribution, and reproduction in any medium, provided the original work is properly cited.

Received: 1 August 2022; Revised: 8 November 2022; Accepted: 10 November 2022; Published: 26 December 2022

Competing interests and funding: Authors declare no conflict of interest.
Research was funded by Region Östergötland, RÖ-285131, RÖ-351681, RÖ-340001, RÖ-430481, RÖ-533731, RÖ-534451, RÖ-599931, RÖ-623391, and RÖ-936926.

CONTACT Emilia Gauffin emilia.gauffin@liu.se

Supplemental data for this article can be accessed here.

 

Background

Chest pain and/or breathlessness are common symptoms in patients attending the emergency department (ED), and both have a broad spectrum of underlying diseases (1, 2). A critical issue for the emergency physician at the ED is to decide which patients should be admitted to a ward and which patients can be discharged home (1, 35).

The Rapid Emergency Triage Treatment Scale (RETTS©) (6) is used to identify and prioritize patients who need acute treatment and to reduce waiting time at the ED 6, 7). Based on their presenting symptoms and vital signs, patients are allocated to five triage priority categories (blue, green, yellow, orange, and red), based on cut-off levels for vital signs and chief complaint algorithms, resulting in different recommended times for physician assessment (6).

The National Early Warning Score (NEWS) is a track and trigger system developed on hospital wards by assessing patients’ vital signs in order to detect patients at high risk of serious adverse events, such as unplanned intensive care unit (ICU) admission, cardiac arrest, or in-hospital death within 24 h (814). NEWS has been validated in EDs and in hospital settings (11, 12, 15). Triage scores characterize a patient’s clinical state at a single time point. When vital signs are still unremarkable, patients at risk of deterioration might be missed.

Copeptin, MR-proADM, and MR-proANP are surrogate markers for arginine vasopressin (AVP), adrenomedullin (ADM), and atrial natriuretic peptide (ANP), respectively (16, 17). These biomarkers have shown to improve diagnostic performance and risk stratification of patients presenting with chest pain and/or breathlessness at the ED (1820). AVP is secreted from the posterior pituitary gland and mediates vasoconstriction and water retention. In an ED, adding copeptin analysis to troponin improves the diagnostic reliability of acute coronary syndrome compared to troponin alone (21). Stretching of myocytes leads to the secretion of ANP from the heart’s atria, which promotes natriuresis, diuresis, vasodilation, and inhibition of the renin angiotensin aldosterone system (22). MR-proANP has similar diagnostic and prognostic performance to other natriuretic peptides in heart failure (23, 24). ADM is secreted from the endothelial cells in the vessel wall as a result of ischemia and is, hence, associated with endothelial dysfunction (18). Higher levels of MR-proADM are associated with adverse outcomes in patients with cardiovascular diseases (2325).

It is vital that the physician can identify the patients who need to be admitted to a ward, so these patients can achieve the best possible care. Moreover, fast assessment of patients without need of in-hospital care shortens the waiting time at the ED, which has been shown to correlate with adverse outcomes (26). Risk assessment tools such as RETTS and NEWS are used at ED to prioritize and assess the patients. Our hypothesis is that biomarkers such as copeptin, MR-proADM, and MR-proANP could aid emergency physicians by identifying patients in need of admission. This study aimed to investigate the association of vital signs and risk assessment using RETTS, NEWS, and biomarkers with the decision on admission to a ward from the ED in patients with chest pain and/or breathlessness.

Methods

Study design

We conducted a single-center observational study in the ED at a tertiary care teaching hospital with a primary catchment area of 460,000 inhabitants and 48,000 ED visits annually during the period 2013–2017.

Non-critically ill patients 18 years or older presenting at the ED with chest pain, breathlessness, or both, with the onset within 7 days, were enrolled in this study after providing a written informed consent. Exclusion criteria included advanced renal failure, advanced malignancy, liver failure, ST-segment elevation myocardial infarction or new left bundle branch block, and severely ill patients (pronounced shortness of breath, massive chest pain, or clinically unstable patients for whom there was no doubt about requiring urgent medical attention).

Blood pressure, respiratory rate, heart rate, body temperature, and oxygen saturation evaluated by pulse oximetry were recorded. Patients were triaged by a nurse according to the Rapid Emergency Triage and Treatment System (RETTS) (Figure 1 in the supplementary material). The triage priorities (in order of acuity) are red, orange, yellow, green, and blue, with red being the highest priority and blue being the lowest. The patients were dichotomized as either low (blue, green, or yellow) or high (red or orange) priority in the statistical analyses.

The NEWS was retrospectively calculated using the recorded vital signs, i.e. respiratory rate, oxygen saturation, temperature, blood pressure, pulse rate, and level of consciousness, as described previously by the Royal College of Physicians (13). Using the resulting combined score, patients were classified into three NEWS categories representing low (0–4 points), moderate (5–6 points), and high (≥7 points) risk (Figure 2a and 2b in the supplementary materials). Because data on supplemental oxygen were not available, the results presented here correspond to NEWS-potentially minus 2, i.e. adjusted NEWS.

All patient management was performed by clinical routine.

Biochemical analyses

Blood samples were collected on presentation at the ED. Plasma was separated by the core laboratory and kept frozen at −70°C for later analysis. Copeptin, MR-proADM, and MR-proANP were analyzed using a highly sensitive time-resolved amplified cryptate emission technology assay (B·R·A·H·M·S, KRYPTOR, AG, Hennigsdorf, Germany). The assay has a lower detection limit of 1.7 pmol/L and an inter-assay precision of 5.2% CV for copeptin. For MR-proADM, the assay has an analytical detection limit of 0.04 nmol/L and an inter-assay variability of 3.3%. For MR-proANP, the assay has a detection limit of 2.1 pmol/L and an inter-assay variability of 3.0%.

Blood samples for C-reactive protein (CRP), creatinine, and high sensitivity Troponin T (hsTNT) were analyzed at the central laboratory by clinical standard.

All clinical information including the final diagnosis was collected from Cambio COSMIC® digital medical records by two physicians (S.I.C. and L.T.D.), with a follow-up of 90 days after the initial presentation.

Main outcome

The outcome of this study was admission to a ward from the ED, coded as a binary variable: admitted to a ward or discharged from the ED.

Ethics

All participants gave their written informed consent. This study was approved by the Regional Ethical Review Board in Linköping, Sweden (diary number 2011/501-31). The study protocol followed the principles expressed in the Declaration of Helsinki.

Statistical analysis

The statistical analyses were performed using IBM SPSS Statistics V.28.0.1.0. Means and standard deviation, median and interquartile ranges, counts, and percentages were reported as appropriate. The mean and median between groups were compared using either t-test or median test for continuous numerical data and Chi-square test for categorical variables. P-values < 0.05 were considered statistically significant. The biomarkers MR-proANP, MR-proADM, and copeptin were dichotomized by cut-off values used in previous studies (23, 27, 28). Data were analyzed with binary logistic regression to estimate adjusted odds ratio (ORs) for the single outcome variable identified above. First, univariable analysis was performed for age, gender, vital signs, NEWS, RETTS, copeptin, MR-proADM, or MR-proANP. Thereafter, three different models of multivariable analysis were performed: (1) age, gender, vital signs, copeptin, MR-proADM, and MR-proANP; (2) age, gender, NEWS moderate/high versus low class, copeptin, MR-proADM, and MR-proANP; and (3) age, gender, RETTS high versus low priority, copeptin, MR-proADM, and MR-proANP. Finally, a supplemental analysis was performed adjusting the previous models for creatinine and hsTNT.

Receiver-operating-characteristics (ROC) curves were constructed for NEWS separately and for NEWS combined with continuous copeptin to determine the prognostic performance with area-under-the-curves (AUCs) for prediction of admission to a ward. We used Stata (MP v17.1, College Station, USA) to test for differences between the AUCs.

Results

In total, 334 patients with a mean age of 63.8 ± 16.8 years were included in the study. Baseline data for the whole population and the admitted and discharged patients are presented in Table 1. Of all patients, 210 complained of chest pain (62.8%), 65 (19.5%) of breathlessness, and 59 (17.7%) of chest pain and breathlessness.

Table 1. Baseline characteristics of the study population.
Variables All population Discharged from ED Admitted to a ward P-value
Number of patients 334 158 176
Age, years (mean ± SD) 63.79 ± 16.87 57.26 ± 18.30 69.66 ± 12.97 < 0.001
Male/female, n (%) 167 (50.0)/167 (50.0) 68 (43.0)/90 (57.0) 99 (56.3)/77 (43.8) 0.016
Chest pain, n (%) 210 (62.8) 105 (66.4) 105 (59.6) 0.119
Breathlessness, n (%) 65 (19.5) 32 (20.3) 33 (18.8) 0.131
Chest pain and breathlessness, n (%) 59 (17.7) 21 (13.3) 38 (21.6) 0.047
NEWS low, n (%) 283 (90.1) 144 (97.3) 139 (83.7) < 0.001
NEWS moderate, n (%) 16 (5.1) 3 (2.0) 13 (7.8) 0.020
NEWS high, n (%) 15 (4.8) 1 (0.7) 14 (8.4) 0.001
RETTS low (yellow, green, and blue), n (%) 97 (34.9) 52 (42.6) 45 (28.8) 0.017
RETTS orange, n (%) 170 (61.2) 69 (56.6) 101 (64.7) 0.165
RETTS red, n (%) 11 (4.0) 1 (0.8) 10 (6.4) 0.018
RETTS high (red + orange), n (%) 181 (65.1) 70 (57.4) 111 (71.2) 0.017
Blood pressure systolic, mmHg (mean ± SD) 147.36 ± 23.79 146.43 ± 21.98 148.20 ± 25.33 0.49
Blood pressure diastolic, mmHg (mean ± SD) 83.32 ± 14.35 84.05 ± 13.62 82.68 ± 14.98 0.39
Temperature, °C (mean ± SD) 36.93 ± 0.68 37.00 ± 0.60 36.86 ± 0.74 0.79
Saturation, % (mean ± SD) 96.46 ± 3.88 97.75 ± 2.36 95.30 ± 4.57 < 0.001
Respiratory rate/minute (mean ± SD) 18.95 ± 5.21 18.32 ± 4.79 19.51 ± 5.52 0.04
Heart rate/minute (mean ± SD) 80.34 ± 20.14 75.76 ± 15.40 84.45 ± 22.88 < 0.001
Length of hospital stay, days (median (IQR)) 1 (0–3) 0 (0.0) 2 (1–5) < 0.001
Previous ischemic heart disease 89 (26.6) 26 (16.5) 63 (35.8) < 0.001
Comorbidities 240 (72.1) 94 (59.9) 146 (83.0) < 0.001
Copeptin, nmol/L (median (IQR)) 6.20 (3.69–13.49) 4.94 (3.34–8.11) 9.58 (4.05–26.58) < 0.001
MR-proADM, nmol/L (median (IQR)) 0.68 (0.53–0.90) 0.61 (0.33–0.47) 0.73 (0.58–1.06) < 0.001
MR-proANP, pmol/L (median (IQR)) 91.05 (57.29–179.43) 72.75 (47.04–115.10) 126.75 (73.33–244.08) < 0.001
Creatinine, µmol/L (median (IQR)) 79 (65–97) 75 (65–94) 81 (66.0–102) 0.004
High sensitivity troponin T, µmol/L (median (IQR)) 9 (6–19) 7 (5–10) 13 (7–27) 0.246
Missing values: NEWS 20, RETTS 56, systolic BP 1, diastolic BP 9, temperature 11, saturation 1, respiratory rate 10, copeptin 20, MR-proADM 25, and MR-proANP 25.

After examination at the ED, 176 (52.7%) patients were admitted, and 158 (47.3%) patients were discharged. The admitted patients had a hospitalization time of 1 (0; 3) day (median; interquartile range (IQR)). No patients were admitted to the ICU. Patients admitted to a ward tended to be older and predominately male compared with those who were discharged from the ED. There was a significant difference in oxygen saturation (O2 saturation), respiratory rate, and heart rate between admitted and discharged patients (Table 1).

In all, 89 (26.6%) had at least one prior episode of ischemic heart disease (e.g. unstable angina, myocardial infarction, coronary artery bypass grafting, or percutaneous coronary intervention), whereas most of the patients (240, 72.1%) had at least one comorbidity (e.g. hypertension, ischemic heart disease, atrial fibrillation, heart failure, stroke, transient ischemic attack, thromboembolism, diabetes mellitus, renal dysfunction, asthma, chronic obstructive pulmonary disease, systemic inflammatory diseases, or malignancy).

The final diagnoses are presented in Table 2. In total, 68 patients were admitted to a ward for observation and thereafter discharged with a non-specific diagnosis. Of these, 51 (75%) had a copeptin value below 10 nmol/L.

Table 2. Diagnosis at discharge from the hospital in patients who were admitted to a ward.
Diagnosis Copeptin ≤ 10 nmol/L Copeptin >10 nmol/L Total (n)
Non-specific diagnosis 51 (75.0%) 17 (25.0%) 68
Acute coronary syndrome 13 (43.3%) 17 (56.7%) 30
Other cardiac diagnosis 16 (35.6%) 29 (64.4%) 45
Acute lung infection 2 (15.4%) 11 (84.6%) 13

Using the RETTS triage model, 97 (34.9%) of the patients were classified as low priority (blue, green, or yellow) and 181 (65.1%) as high priority (red or orange) (Table 1). In the group assigned RETTS high priority, the number of patients admitted to a ward was higher than those discharged home (111 [71.2%] vs. 70 [28.8%], P = 0.017).

In the NEWS track and trigger system model, most patients assigned to the moderate (13 [7.8%] vs. 3 [2.0%], P = 0.02) and high (14 [8.4%] vs. 1 [0.7%], P = 0.001) risk groups were admitted. Levels of copeptin, MR-proADM, and MR-proANP were significantly higher in the patients admitted to a ward (Table 1). In Table 3, the levels of the biomarkers are presented according to group of RETTS and NEWS.

Table 3. Median (IQR) levels of copeptin, MR-proADM, and MR-proANP across the categories of NEWS and RETTS.
Biomarkers RETTS low RETTS high P-value NEWS low NEWS moderate + high P-value
Copeptin (nmol/L) 4.94 (3.59–11.67) 8.56 (4.03–22.10) 0.030 5.71 (3.48–11.54) 27.92 (10.48–56.26) <0.001
MR-proADM (pmol/L) 0.63 (0.50–0.83) 0.70 (0.57–1.07) 0.360 0.65 (0.52–0.88) 1.07 (0.78–1.56) 0.003
MR-proANP (nmol/L) 89.49 (47.61–174.70) 106.80 (65.33–236.50) 0.035 88.40 (55.54–163.10) 204.80 (70.93–354.60) 0.006

None of the discharged patients died within 90 days of follow-up, while there were five deaths in the group admitted to a ward.

The association of vital signs, NEWS, and biomarkers with admission to a ward or discharge from the ED was tested in multivariate binary regression models (Tables 4a-c). In model 4a, age (OR 1.031 [1.006–1.057]), O2 saturation (OR 0.860 [0.775–0.954]), heart rate (OR 1.020 [1.003–1.037]), and copeptin >10 nmol/L (OR 2.254 [1.116–4.549]) were associated with admission to a ward. When the compound scale NEWS was used instead of single vital signs, an association with admission to a ward was found (OR 3.592 [1.082–11.991]) (Table 4b), while no significant association between RETTS and the need for admission could be found (P = 0.204) (Table 4c). Even in these models, copeptin remained significantly associated with the outcome of admission/discharge (OR 2.308 [1.163–4.582] and OR 2.644 [1.272–5.497]) (Table 4b-c). After adjusting model 4a–c for creatinine and hsTNT (supplementary materials table 1), only copeptin maintained the significance in all models (OR 2.662 [1.064–6.657], OR 2.795 [1.150–6.792], and OR 3.792 [1.444–9.954], respectively), whereas age, saturation, heart rate, and NEWS lost their predictive value for admission to a ward.

Table 4. Binary regression analyses for associations of age, gender, vital signs (a), NEWS (b), RETTS (c), and biomarkers with admission to a ward.
Variables in the predicting model Univariable Multivariable
OR (95%CI) P-value OR (95%CI) P-value
Age 1.051 (1.035–1.067) < 0.001 1.031 (1.006–1.057) 0.014
Gender 1.702 (1.103–2.625) 0.016 1.365 (0.763–2.444) 0.295
Systolic blood pressure 1.003 (0.994–1.012) 0.497 0.998 (0.986–1.010) 0.734
Temperature 0.746 (0.537–1.037) 0.081 0.647 (0.403–1.040) 0.072
Saturation 0.781 (0.712–0.856) < 0.001 0.860 (0.775–0.954) 0.004
Respiratory rate 1.049 (1.001–1.100) 0.045 0.985 (0.918–1.056) 0.667
Heart rate 1.023 (1.011–1.035) < 0.001 1.020 (1.003–1.037) 0.021
Copeptin > 10 nmol/L 4.569 (2.668–7.826) < 0.001 2.254 (1.116–4.549) 0.023
MR-proADM > 0.75 pmol/L 2.500 (1.553–4.023) < 0.001 0.797 (0.382–1.664) 0.546
MR-proANP > 120 nmol/L 3.513 (2.149–5.741) < 0.001 1.369 (0.642–2.919) 0.416


b. Univariable
OR (95%CI)
P-value Multivariable
OR (95%CI)
P-value

Age 1.051 (1.035–1.067) < 0.001 1.034 (1.011–1.058) 0.004
Gender 1.702 (1.103–2.625) 0.016 1.665 (0.953–2.909) 0.073
NEWS high + moderate vs. low 6.993 (2.385–20.502) < 0.001 3.592 (1.082–11.991) 0.037
Copeptin > 10 nmol/L 4.569 (2.698–11.416) < 0.001 2.308 (1.163–4.582) 0.017
MR-proADM > 0.75 pmol/L 2.500 (1.553–4.023) 0.005 0.774 (0.386–1.551) 0.470
MR-proANP > 120 nmol/L 3.513 (2.149–5.741) < 0.001 1.689 (0.814–3.507) 0.160


c. Univariable
OR (95%CI)
P-value Multivariable
OR (95%CI)
P-value

Age 1.051 (1.035–1.067) < 0.001 1.038 (1.013–1.063) 0.003
Gender 1.702 (1.103–2.625) 0.016 1.906 (1.055–3.442) 0.033
RETTS high vs. low 1.832 (1.113–3.017) 0.017 1.464 (0.813–2.637) 0.204
Copeptin > 10 nmol/L 4.569 (2.668–7.826) < 0.001 2.644 (1.272–5.497) 0.009
MR-proADM > 0.75 pmol/L 2.500 (1.553–4.023) 0.005 0.467 (0.212–1.030) 0.059
MR-proANP > 120 nmol/L 3.513 (2.149–5.741) < 0.001 1.886 (0.858–4.145) 0.114
Notes: ED: emergency department; BP: blood pressure; MR-proADM: midregional proadrenomedulin; MR-proANP: midregional proatrial natriuretic peptide; CRP: C-reactive protein; RETTS: Rapid Emergency Triage and Treatment System; NEWS: National Early Warning Score; OR: odds ratio; CI: confidence interval.

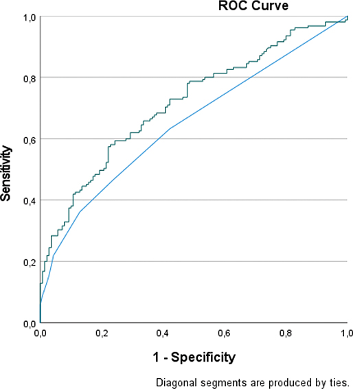
In ROC analysis, NEWS showed an AUC of 0.649 (0.591–0.707) and the combination of NEWS and copeptin showed an AUC of 0.711 (0.652–0.769), see Figure 1. Adding copeptin had a significant incremental predictive value when compared to analysis of NEWS separately (P = 0.002).

Figure 1
Figure 1. ROC curve for prediction of admission to a ward.
Blue = NEWS. Green = NEWS + copeptin.

Discussion

In this study, we found that age, gender, vital signs, NEWS, and copeptin were associated with the decision of admission to a ward for patients presenting at the ED with chest pain and/or breathlessness. Vital signs such as heart rate, respiratory rate, O2 saturation, temperature, blood pressure, and consciousness objectively indicate the immediate well-being of patients and are an imperative component of patient assessment and management (29). In our study, O2 saturation, heart rate, and age were independently associated with the decision on admission to a ward. In geriatric patients, knowledge of pulse oximetry values has been shown to affect the decision on admission (30). Heart rate on admission is associated with prognosis in patients with heart failure (31). In a large, unselected ED population, age and vital signs were significantly related to 1-day mortality, 30-day mortality, and ICU admission (32). In the same study, respiratory rate and oxygen saturation were associated with higher odds of mortality than changes in systolic blood pressure and pulse rate.

The patients in our study were risk-stratified according to the RETTS priority triage model, which is used to identify and prioritize the order in which patients need to be dealt with by the ED physician (6, 7). In our study, the proportion of patients classified in the red RETTS priority class was 4.0%, which is similar to results presented by Ljunggren et al. (32). By contrast, the proportion of patients allocated to the orange RETTS priority class, 61.2%, was considerably higher than the 6.7% reported by the same authors (32). It is conceivable that in our study, there might have been overtriage due to the broad triage criteria in RETTS. It has to be noted that in RETTS, a higher triage level can be applied by triage nurses’ discretion. Ljunggren et al. suggested that in RETTS, the most commonly used triage system in Sweden, future triage systems should also include age (32).

With NEWS, a lower number of patients were included in the high and moderate risk classes: 4.8% and 5.1% vs. 90.1% in the low NEWS risk class. It should be pointed out that the emergency physicians were aware of vital signs and the RETTS priority classes, but not specifically of the NEWS score and were blinded towards the biomarkers studied.

In the multivariate regression model including age and sex, there was no significant difference between high (red and orange) and low (green, blue, and yellow) RETTS levels regarding admission to a ward, whereas a significant difference was found for NEWS risk levels between patients admitted to a ward and those discharged home. This suggests that the track and trigger system NEWS is a more sensitive tool for risk stratification than triage priority using the RETTS model. Few studies have previously considered the predictive value of NEWS for admission to a ward (9, 33). Mitsunaga and colleagues found that NEWS values in the ED effectively predicted admission to a ward and in-hospital mortality in elderly patients (9). Other studies have investigated the discriminative power of NEWS in the ED for admission to an ICU ward and for all-cause mortality (10, 15, 34, 35). Recent studies have shown that the Swedish version of NEWS had excellent inter-rater reliability, and the median scores for patients admitted to the ICU were higher than for those not admitted. Patients classified as medium or high risk by NEWS experienced a twofold or threefold increase, respectively, in odds of in-hospital death or 30-day mortality compared to low-risk patients (11, 12).

In our study, copeptin was independently correlated to admission to a ward in addition to age, gender, vital signs, and NEWS, whereas MR-proADM and MR-proANP were not. This suggests that copeptin could be used at the ED to aid emergency physician evaluating the need of admission. In a study of patients presenting with non-specific complaints, elevated copeptin was associated with increased 30-day mortality (36). In a large, multicenter, unselected ED cohort of patients, Schuetz and colleagues showed that combining clinical information and measured copeptin, MR-proADM and procalcitonin strongly predicted high initial triage priority, ICU admission, and 30-day mortality (37). The clinical examination is fundamental, and the patients will still need to be prioritized, for example, by vital parameters or NEWS, but levels of copeptin could give additional aid in the decision-making. In our study, the ROC-curve for the model including copeptin showed a significant incremental predictive value for admission to the use of NEWS solely.

In our study, 68 patients were discharged from a ward with a non-specific diagnosis. Many patients have probably unnecessarily been admitted to a ward due to lack of reliable risk stratification methods. Analysis of copeptin might have helped the physician to discharge some of these patients directly from the ED. Previous studies have shown that ED physicians receive little training on how to make disposition decisions, and that the applied research in this area has focused on the implementation of decision rules or algorithms for narrow, predefined patient groups, such as those presenting with chest pain (3840). Cardel et al. have studied in ‘real time’ how experienced ED physicians make discharge decisions and reported that they most often relied on clinical judgment, rather than evidence-based guidelines (5). This aspect could also have implications for the results of our study.

A strength of our study is the broad inclusion criteria consistent with daily practice. We believe that the unselected feature of the cohort makes it representative of patients typically seen in clinical practice in the ED with a well-distributed gender balance, i.e. the same number of male and female participants. However, the sample size is small compared to the number of patients presenting with chest pain and/or breathlessness each year at the ED.

Further study limitations include the fact that the decision on admission to a ward was taken by several ED physicians with different levels of experience and may, therefore, be subject to variation. Also, physicians could not be blinded to the triage score, which might affect initial clinical management due to priority recommendations connected to triage. Finally, information on the use of oxygen was not available for the retrospective calculation of NEWS, reducing the maximum score to 18 out of 20. Therefore, in accordance with the Royal College of Physicians, a weighting score of two was added. This could result in the misclassification of NEWS categories. Furthermore, the use of hsTNT as diagnostic biomarker in the clinical pathway for chest pain patients directly related to the decision to admit might have outweighed the potential benefit of NEWS in our study with the majority of patients (90.1%) presenting with low NEWS scores.

Conclusions

In conclusion, emergency physicians’ decisions to admit patients with chest pain and/or breathlessness from the ED to a ward are related to age, O2 saturation, heart rate, NEWS category, and copeptin. As an independent predictive marker for admission, early analysis of copeptin might be beneficial when improving patient pathways at the ED. Further prospective studies evaluating the value of copeptin on top of clinical judgement and NEWS seem motivated.

Acknowledgments

We acknowledge Helene Kimme for excellent support in recruiting the patients at the ED.

Ethics approval

This study was conducted according to the guidelines of the Declaration of Helsinki and approved by the Ethics Committee of Linkoping University (protocol code 2011/501-31). An informed consent was obtained from all subjects involved in the study. A written informed consent has been obtained from the patient(s) to publish this paper.

Author contributions

Conceptualization, S.C., M.S., and H.A.; methodology, S.C., M.S., and H.A.; formal analysis, S.C. and E.G.; investigation, S.C., M.S., and L.T.D.; resources, S.C.; data curation, S.C., P.A., and L.T.D.; writing – original draft preparation, S.C., L.T.D., E.G., and H.A.; writing – review and editing, S.C., E.G., H.A., M.S., L.T.D., B.E., D.W., and P.A.; visualization, S.C. and E.G.; supervision, S.C.; project administration, S.C. and M.S.; funding acquisition, S.C. All authors have read and agreed to the published version of the manuscript.

Notes on contributors

Lee Ti Davidson, MD, is an emergency and internal medicine specialist at Linköping University Hospital and is doing her research study at the Institute of Biomedical and Clinical Sciences, Linköping University, Linköping, Sweden.

Emilia Gauffin, MD, is a resident physician at the department of Clinical Genetics at Linköping University Hospital and a PhD student at Linköping’s University.

Preben Henanger, intern physician at the hospital of Arvika, Sweden.

Maciej Wajda, MD at Department of Emergency Medicine and Department of Biomedical and Clinical Sciences, Linköping University, Linköping, Sweden.

Daniel Wilhelms, MD, PhD at Department of Emergency Medicine and Department of Biomedical and Clinical Sciences, Linköping University, Linköping, Sweden.

Bertil Ekman, MD, PhD at Departments of Endocrinology in Norrköping and Linköping, and Associate professor at the Department of Health, Medicine and Caring Sciences, Linköping University, Linköping, Sweden.

Hans Arnqvist, MD, PhD is a specialist in internal medicine and endocrinology at Department of Endocrinology in Linköping and senior professor at Department of Biomedicine and Clinical Sciences, Linköping University, Linköping, Sweden.

Ulf Martin Schilling, MD, PhD, is a consultant in emergency medicine and internal medicine.

Simona I. Chisalita, MD, PhD, is Senior Consultant Endocrinology, Diabetology and internal medicine at the Department of Health, Medicine and Caring Sciences and Associate Professor at the Faculty of Medicine and Health Sciences, Linköping University, Linköping, Sweden

ORCID

Lee Ti Davidson symbol https://orcid.org/0000-0001-6961-7517

Emilia Gauffin symbol https://orcid.org/0000-0002-4084-1010

Preben Henanger symbol https://orcid.org/0000-0002-0402-4099

Daniel Wilhelms symbol https://orcid.org/0000-0001-6347-3970

Bertil Ekman symbol https://orcid.org/0000-0001-8732-7361

Hans Arnqvist symbol https://orcid.org/0000-0002-0368-3308

Martin Schilling symbol https://orcid.org/0000-0002-0957-4604

Simona Chisalita symbol https://orcid.org/0000-0002-9982-3554

References

1. Goodacre S, Cross E, Arnold J, Angelini K, Capewell S, Nicholl J. The health care burden of acute chest pain. Heart 2005;91:229–30. doi: 10.1136/hrt.2003.027599
2. Mockel M, Searle J, Muller R, Slagman A, Storchmann H, Oestereich P, et al. Chief complaints in medical emergencies: do they relate to underlying disease and outcome? The Charite Emergency Medicine Study (CHARITEM). Eur J Emerg Med 2013;20:103–8. doi: 10.1097/MEJ.0b013e328351e609
3. Guttmann A, Schull MJ, Vermeulen MJ, Stukel TA. Association between waiting times and short term mortality and hospital admission after departure from emergency department: population based cohort study from Ontario, Canada. BMJ. 2011;342:d2983. doi: 10.1136/bmj.d2983
4. Sun BC, Hsia RY, Weiss RE, Zingmond D, Liang LJ, Han W, et al. Effect of emergency department crowding on outcomes of admitted patients. Ann Emerg Medicine 2013;61(6):605–11.e6. doi: 10.1016/j.annemergmed.2012.10.026
5. Calder LA, Arnason T, Vaillancourt C, Perry JJ, Stiell IG, Forster AJ. How do emergency physicians make discharge decisions? Emerg Med J 2015;32(1):9–14. doi: 10.1136/emermed-2013-202421
6. Wireklint SC, Elmqvist C, Parenti N, Goransson KE. A descriptive study of registered nurses’ application of the triage scale RETTS(c); a Swedish reliability study. Int Emerg Nurs 2018;38:21–8. doi: 10.1016/j.ienj.2017.12.003
7. Ruge T, Malmer G, Wachtler C, Ekelund U, Westerlund E, Svensson P, et al. Age is associated with increased mortality in the RETTS-A triage scale. BMC Geriatr 2019;19(1):139. doi: 10.1186/s12877-019-1157-4
8. Bilben B, Grandal L, Sovik S. National Early Warning Score (NEWS) as an emergency department predictor of disease severity and 90-day survival in the acutely dyspneic patient - A prospective observational study. Scand J Trauma Resusc Emerg Med. 2016;24:80. doi: 10.1186/s13049-016-0273-9
9. Mitsunaga T, Hasegawa I, Uzura M, Okuno K, Otani K, Ohtaki Y, et al. Comparison of the National Early Warning Score (NEWS) and the Modified Early Warning Score (MEWS) for predicting admission and in-hospital mortality in elderly patients in the pre-hospital setting and in the emergency department. PeerJ. 2019;7:e6947. doi: 10.7717/peerj.6947
10. Smith GB, Prytherch DR, Meredith P, Schmidt PE, Featherstone PI. The ability of the National Early Warning Score (NEWS) to discriminate patients at risk of early cardiac arrest, unanticipated intensive care unit admission, and death. Resuscitation. 2013;84(4):465–70. doi: 10.1016/j.resuscitation.2012.12.016
11. Spangfors M, Arvidsson L, Karlsson V, Samuelson K. The National Early Warning Score: translation, testing and prediction in a Swedish setting. Intensive Crit Care Nurs. 2016;37:62–7. doi: 10.1016/j.iccn.2016.05.007
12. Spangfors M, Bunkenborg G, Molt M, Samuelson K. The National Early Warning Score predicts mortality in hospital ward patients with deviating vital signs: a retrospective medical record review study. J Clin Nurs. 2019;28(7–8):1216–22. doi: 10.1111/jocn.14728
13. Williams B, Alberti G, Ball C, Ball D, Binks R, Durham L.National Early Warning Score (NEWS), Standardising the assessment of acute-illness severity in the NHS. London: Royal College of Physicians; 2012.
14. Royal College of Physicians. National Early Warning Score (NEWS) 2: standardising the assessment of acute-illness severity in the NHS. Updated report of a working party. London: RCP; 2017.
15. Sbiti-Rohr D, Kutz A, Christ-Crain M, Thomann R, Zimmerli W, Hoess C, et al. The National Early Warning Score (NEWS) for outcome prediction in emergency department patients with community-acquired pneumonia: results from a 6-year prospective cohort study. BMJ Open. 2016;6(9):e011021. doi: 10.1136/bmjopen-2015-011021
16. Maier C, Clodi M, Neuhold S, Resl M, Elhenicky M, Prager R, et al. Endothelial markers may link kidney function to cardiovascular events in type 2 diabetes. Diabetes Care. 2009;32(10):1890–5. doi: 10.2337/dc08-2168
17. Enhörning S, Hedblad B, Nilsson PM, Engström G, Melander O. Copeptin is an independent predictor of diabetic heart disease and death. Am Heart J. 2015;169(4):549–56.e1. doi: 10.1016/j.ahj.2014.11.020
18. Landman GW, Van Dijk PR, Drion I, Van Hateren KJ, Struck J, Groenier KH, et al. Midregional fragment of proadrenomedullin, new-onset albuminuria, and cardiovascular and all-cause mortality in patients with type 2 diabetes (ZODIAC-30). Diabetes Care. 2014;37(3):839–45. doi: 10.2337/dc13-1852
19. Mellbin LG, Ryden L, Brismar K, Morgenthaler NG, Ohrvik J, Catrina SB. Copeptin, IGFBP-1, and cardiovascular prognosis in patients with type 2 diabetes and acute myocardial infarction: a report from the DIGAMI 2 trial. Diabetes Care. 2010;33(7):1604–6. doi: 10.2337/dc10-0088
20. Van Hateren KJ, Landman GW, Kleefstra N, Groenier KH, Struck J, Navis GJ, et al. The midregional fragment of pro-A-type natriuretic peptide, blood pressure, and mortality in a prospective cohort study of patients with type 2 diabetes (ZODIAC-25). Diabetes Care. 2013;36(5):1347–52. doi: 10.2337/dc12-0428
21. Reichlin T, Hochholzer W, Stelzig C, Laule K, Freidank H, Morgenthaler NG, et al. Incremental value of copeptin for rapid rule out of acute myocardial infarction. J Am Coll Cardiol. 2009;54(1):60–8. doi: 10.1016/j.jacc.2009.01.076
22. Idzikowska K, Zielińska M. Midregional pro-atrial natriuretic peptide, an important member of the natriuretic peptide family: potential role in diagnosis and prognosis of cardiovascular disease. J Int Med Res. 2018;46(8):3017–29. doi: 10.1016/j.jacc.2010.02.025
23. Maisel A, Mueller C, Nowak R, Peacock WF, Landsberg JW, Ponikowski P, et al. Mid-region pro-hormone markers for diagnosis and prognosis in acute dyspnea: results from the BACH (Biomarkers in Acute Heart Failure) trial. J Am Coll Cardiol. 2010;55(19):2062–76. doi: 10.1016/j.jacc.2010.02.025
24. Miller WL, Hartman KA, Grill DE, Struck J, Bergmann A, Jaffe AS. Serial measurements of midregion proANP and copeptin in ambulatory patients with heart failure: incremental prognostic value of novel biomarkers in heart failure. Heart. 2012;98(5):389–94. doi: 10.1136/heartjnl-2011-300823
25. Khan SQ, O’Brien RJ, Struck J, Quinn P, Morgenthaler N, Squire I, et al. Prognostic value of midregional pro-adrenomedullin in patients with acute myocardial infarction: the LAMP (Leicester Acute Myocardial Infarction Peptide) study. J Am Coll Cardiol. 2007;49(14):1525–32. doi: 10.1016/j.jacc.2006.12.038
26. Carter EJ, Pouch SM, Larson EL. The relationship between emergency department crowding and patient outcomes: a systematic review. J Nurs Scholarsh. 2014;46(2):106–15. doi: 10.1111/jnu.12055
27. Searle J, Slagman A, Stockburger M, Vollert JO, Müller C, Muller R, et al. Use of copeptin in emergency patients with cardiac chief complaints. Eur Heart Journal Acute Cardiovasc Care. 2015;4(5):393–402. doi: 10.1177/2048872614554197
28. Zuur-Telgen M, VanderValk P, Van der Palen J, Kerstjens HA, Brusse-Keizer M. Stable State Proadrenomedullin Level in COPD Patients: a validation study. Copd. 2017;14(2):219–27. doi: 10.1080/15412555.2016.1250254
29. Hong W, Earnest A, Sultana P, Koh Z, Shahidah N, Ong ME. How accurate are vital signs in predicting clinical outcomes in critically ill emergency department patients. Eur J Emerg Med. 2013;20(1):27–32. doi: 10.1097/MEJ.0b013e32834fdcf3
30. Mower WR, Myers G, Nicklin EL, Kearin KT, Baraff LJ, Sachs C. Pulse oximetry as a fifth vital sign in emergency geriatric assessment. Acad Emerg Med. 1998;5(9):858–65. doi: 10.1111/j.1553-2712.1998.tb02813.x
31. Bui AL, Grau-Sepulveda MV, Hernandez AF, Peterson ED, Yancy CW, Bhatt DL, et al. Admission heart rate and in-hospital outcomes in patients hospitalized for heart failure in sinus rhythm and in atrial fibrillation. Am Heart J. 2013;165(4):567–74.e6. doi: 10.1016/j.ahj.2013.01.007
32. Ljunggren M, Castrén M, Nordberg M, Kurland L. The association between vital signs and mortality in a retrospective cohort study of an unselected emergency department population. Scand J Trauma Resusc Emerg Med. 2016;24:21. doi: 10.1186/s13049-016-0213-8
33. Lee YS, Choi JW, Park YH, Chung C, Park DI, Lee JE, et al. Evaluation of the efficacy of the National Early Warning Score in predicting in-hospital mortality via the risk stratification. J Crit Care. 2018;47:222–6. doi: 10.1016/j.jcrc.2018.07.011
34. Corfield AR, Lees F, Zealley I, Houston G, Dickie S, Ward K, et al. Utility of a single early warning score in patients with sepsis in the emergency department. Emerg Med J. 2014;31(6):482–7. doi: 10.1136/emermed-2012-202186
35. Eckart A, Hauser SI, Kutz A, Haubitz S, Hausfater P, Amin D, et al. Combination of the National Early Warning Score (NEWS) and inflammatory biomarkers for early risk stratification in emergency department patients: results of a multinational, observational study. BMJ Open. 2019;9(1):e024636. doi: 10.1136/bmjopen-2018-024636
36. Nickel CH, Bingisser R, Morgenthaler NG. The role of copeptin as a diagnostic and prognostic biomarker for risk stratification in the emergency department. BMC Med. 2012;10:7. doi: 10.1186/1741-7015-10-7
37. Schuetz P, Hausfater P, Amin D, Amin A, Haubitz S, Faessler L, et al. Biomarkers from distinct biological pathways improve early risk stratification in medical emergency patients: the multinational, prospective, observational TRIAGE study. Crit Care. 2015;19:377. doi: 10.1186/s13054-015-1098-z
38. Christenson J, Innes G, McKnight D, Thompson CR, Wong H, Yu E, et al. A clinical prediction rule for early discharge of patients with chest pain. Ann Emerg Med. 2006;47(1):1–10. doi: 10.1016/j.annemergmed.2005.08.007
39. Farmer SA, Higginson IJ. Chest pain: physician perceptions and decision-making in a London emergency department. Ann Emerg Med. 2006;48(1):77–85. doi: 10.1016/j.annemergmed.2005.12.002
40. Boufous S, Kelleher PW, Pain CH, Dann LM, Ieraci S, Jalaludin BB, et al. Impact of a chest-pain guideline on clinical decision-making. Med J Aust. 2003;178(8):375–80. doi: 10.5694/j.1326-5377.2003.tb05253.x